Soal Dan Pembahasan Integral Doc
Rumus-rumus integral yang digunakan. Contoh Soal Dan Jawaban Integral Tertentu Brainly Co Id.
Soal Dan Pembahasan Integral Tentu Tak Tentu Terlengkap Soalskul
1 1 x3 3 x2 5x C 3 2 D.
Soal dan pembahasan integral doc. Integral adalah lawan dari proses diferensial. Rumus integral parsial juga digunakan untuk suatu soal integral yang sangat kompleks. Kelas 3 Sma Kimia Teguh to.
F x dx F x c. Fx x 2 dan sumbu X 2. Berikut ini merupakan soal dan pembahasan mengenai perhitungan integral tentu beserta penerapan sifat sifat integral dasar.
Contoh Soal Dan Pembahasan Tentang Integral Guru Ilmu Sosial. Soal pembahasan integral XII IPS. Fx x 2 dan gx x 3 Contoh Soal 7.
5x C C. 49 Kunci Jawaban Tema 3 Kelas 6 Kurikulum 13 Pics. Kumpulan Contoh Soal Integral Dan Pembahasannya Guru Belajarku.
Soal dan Pembahasan Integral Tentu Berikut ini merupakan soal dan pembahasan mengenai perhitungan integral tentu beserta penerapan sifat-sifat integral dasar. Soal dan Pembahasan Luas Daerah Menggunakan Integral Nah untuk memahami lebih lanjut mengenai penggunaan metode substitusi dalam aljabar dan trigonometri dalam mengintegralkan suatu fungsi berikut disediakan soal dan pembahasannya. Contoh soal dan pembahasan tentang integral trigonometri.
XII IPS 1 Nomor. Dokumen Serupa dengan soal matematika Pembahasan Integral Luas Dan Volume Karusel Sebelumnya Karusel Berikutnya. Pelajari rangkuman materi integral dilengkapi dengan contoh soal integral beserta pembahasan jawaban lengkap dari soal UN dan SBMPTN untuk kelas 11.
Hitung x 2 3 x 5 dx A. Tentukan integral tertentu untuk menghitung luas daerah yang diarsir pada gambar-gambar berikut. Ax n dx mathrmfracan1x n1 C.
Jika F x adalah fungsi umum yang bersifat F x f x maka F x merupakan anti turunan atau integral dari f x. Fx x 2 dan gx x 3. 14 Full PDFs related to this paper.
Pembahasan soal-soal Ujian Nasional UN SMA bidang studi Matematika IPA untuk materi pembahasan Integral Fungsi Aljabar yang meliputi integral tentu integral tak tentu dan integral substitusi dari fungsi-fungsi aljabar. Cara Mengerjakan Soal Integral Guru Ilmu Sosial. Contoh soal penyelesaian dan pembahasan integral.
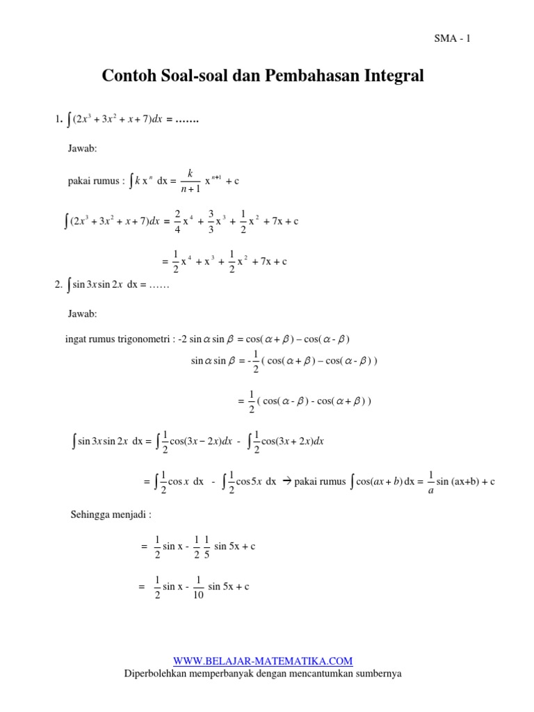
Notasi integral. Pengintegralan fungsi f x terhadap x dinotasikan sebagai berikut. 2x3 3x2 x7dx.
Soal Dan Pembahasan Integral Doc. 25 SOAL DAN PEMBAHASAN INTEGRAL 1. Pangkatnya diturukan sehingga dikali 9 dan pangkatnya berubah dari pangkat 9 menjadi 8 ingat yang bagian dalam kurung tetap.
Download rangkuman contoh soal integral dalam bentuk pdf klik disini. Beberapa dari 6 tipe soal integral tak tentu fungsi aljabar ini diselesaikan dengan. Soal integral dan pembahasannya doc.
Diperbolehkan memperbanyak dengan mencantumkan sumbernya Contoh Soal-soal dan Pembahasan Integral 1. Soal Latihan dan Pembahasan Integral Di susun Oleh. F x fungsi integran.
A short summary of this paper. Microsoft Word - Contoh-contoh Soal dan Pembahasan Integral untuk SMAdoc Author. Soal no1 sbmptn 2014.
Contoh soal pilihan ganda integral dan pembahasan. Tandai sebagai konten tidak pantas. Contoh Soal dan Pembahasan Integral Tak Tentu Integral Tentu kalkulus 2.
Berikut ini adalah file tentang contoh soal integral dan pembahasannya doc yang bisa bapakibu unduh secara gratis dengan menekan tombol download pada tautan link di bawah ini. 1 x3 3 x2 5x C 3 2 E. Perbedaan antara integral tertentu dan integral tak tentu yaitu jika integral tertentu memiliki batasan-batasan integral tak tentu tidak.
Salah satu cabang dari Ilmu Matematika yang patut di pelajari adalah Integral. 1 x3 3 x2 15x C 3 2 B. Raditya Yudika P Soal Dan Pembahasan Integral Subsitusi Dan Integral Parsial.
Download Full PDF Package. Muhammad Ulul Albab Kelas. Baik sekarang sudah faham semuakan semoga semuanya faham karena matematika itu menarik dan asiik memang si kadang bikin pusing tapi ada tantanganya di situ sekarang kita masuk ke contoh soal integral.
Contoh soal dan pembahasan tentang luas daerah dengan integral. View Soal_Latihan_dan_Pembahasan_Integraldocx from MATHEMATIC MISC at State University of Medan. K xn dx n1 k xn1 c 2x3 3x2 x7dx 4 2 x4 3 3 x3 2 1 x2 7x c 2 1 x4 x3 2 1 x2.
Ini soal umptn 1991 integral trigonometri berikut ini soalnya. Soal integral yang dapat di selesaikan menggunakan integral pasrsial terbagi menjadi 2 macam 1 sebagai fungsi u dan satunya lagi untuk dv. Contoh soal integral tentu dan penyelesaiannya tutorial mata pelajaran matematika kali ini akan membahas soal soal tentang integral tertentu.
Pada pembahasan sebelumnya telang disinggung tentang integral tak tertentu yang dilengkapi juga dengan pembahasan beberapa soal. Jika f x adalah fungsi umum yang bersifat f x f x maka f x merupakan anti turunan atau integral dari f x pengintegralan fungsi f x terhadap x dinotasikan sebagai berikut. Unduh sebagai DOC PDF TXT atau baca online dari Scribd.
Integral terbagi atas beberapa jenis yaitu integral tertentu dan integral tak tentu. Soal juga dapat diunduh dalam file berformat PDF melalui tautan berikut. 30 Full PDFs related to this paper.
Soal Dan Pembahasan Integral Tentu Tak Tentu Terlengkap Soalskul
Soal Dan Pembahasan Integral Tentu Tak Tentu Terlengkap Soalskul

Contoh Soal Integral Tentu Dan Penyelesaiannya Pdf Kumpulan Soal Pelajaran 5
Soal Matematika Pembahasan Integral Luas Dan Volume
Soal Dan Pembahasan Integral Tentu Tak Tentu Terlengkap Soalskul
![]()
Doc Soal Pembahasan Integral Xii Ips Muhammad Albab Academia Edu
Contoh Contoh Soal Dan Pembahasan Integral Untuk Sma

Contoh Soal Dan Jawaban Integral Contoh Soal Dan Materi Pelajaran 7

Contoh Soal Integral Lipat Dua Dan Penyelesaiannya Kumpulan Soal Pelajaran 5
Post a Comment for "Soal Dan Pembahasan Integral Doc"