Contoh Penilaian Portofolio Matematika
Dalam makalah ini akan dibahas lebih rinci karakteristik penilaian teknik penilaian dan contoh-contoh rubrik penilaian terkait kurikulum 2013. Tes tugas terstruktur.
Sedangkan indikator penilaian portofolio dapat meliputi.

Contoh penilaian portofolio matematika. Melakukan Pengukuran dan Menggunakannya dalam Pemecahan masalah Nama. Apa yang harus tersurat tergantung pada subjek dan tujuan penggunaan portofolio. Setelah melalui diskusi dengan para siswa diperoleh keputusan bahwa siswa harus mengumpulkan portofolio.
The research was about the preparation the process and the obstacles that was faced in implementation of portfolio assessments. Halaman daftar isi 3. Berkas-berkas portofolio yang dikumpulkan siswa adalah hasil pekerjaan siswa sendiri yang telah dilaksanakan.
Contoh hasil pekerjaan siswa Dita dalam tiga. Halaman kata pengantar 4. Contoh Rubrik Penilaian Proyek Mapel Matematika.
Cantumkan tanggal pembuatan pada setiap evidence. Tes Praktik Projek Portofolio. Teknik Penilaian Portofolio.
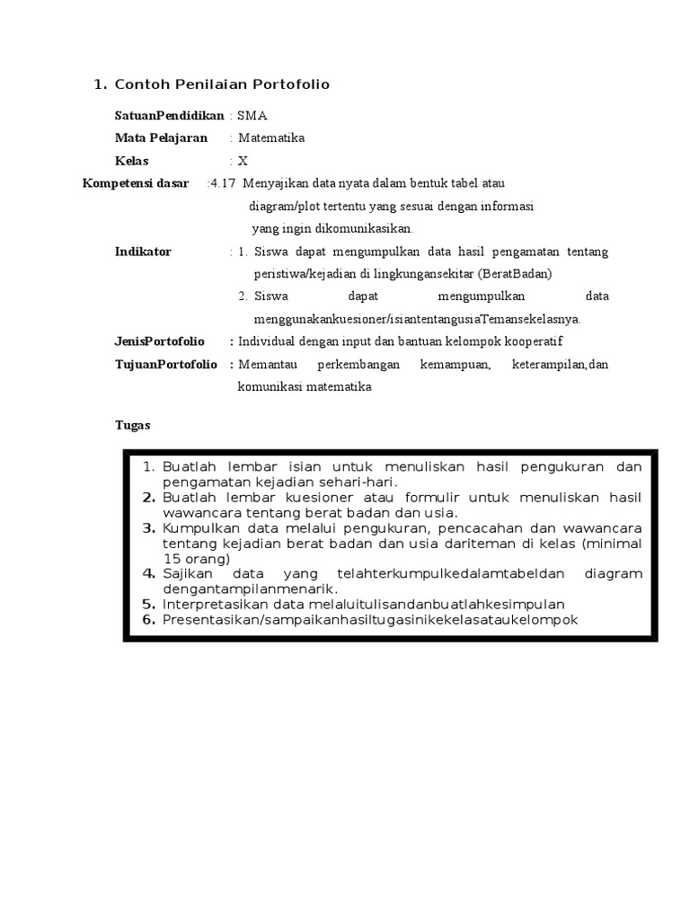
Contoh penilaian portofolio Matematika kelas 3 SD Kompetensi Dasar. Siswa dapat mengumpulkan data hasil pengamatan tentang peristiwakejadian di lingkungansekitar BeratBadan 2. Penilaian Portofolio dalam Pembelajaran Matematika - PDF Free.
Jelaskan kepada peserta didik maksud penggunaan portofolio. Penilaian Autentik pengetahuan sikap keterampilan Pendahuluan. Contoh Tugas Portofolio Matematika Sma.
Contoh Portofolio Matematika Sma Lucu Enak. Kompetensi dasar417 Menyajikan data nyata dalam bentuk tabel atau diagramplot tertentu yang sesuai dengan informasi yang ingin dikomunikasikan. 30 Ada beberapa langkah yang perlu diperhatikan dalam penggunaan portofolio yaitu.
Kualitas isi Portofolio Lembar Kerja 10 Kegiatan 1 Menabung 7 Kegiatan 2 Berbagi Kue 7 Laporan Pengamatan 4 Hasil Karya Hiasan Jendela 10 3. Komponen penilaian portofolio Nama Siswa. Berikut ini susunan contoh portofolio siswa SMA yang mudah untuk dipahami.
Contoh Portofolio Matematika Sma Modif N Wfh Siswa Mts Negeri 6 Bantul Susun Tugas Portofolio Matematika Website Kementerian Agama Ri Kanwil Diy Contoh Tugas Portofolio Matematika Smp Kelas 7 Ilmusosial Id. Contoh Penilaian Portofolio SatuanPendidikan. Tugas individu materi ips semester 1.
Jelaskan sampel-sampel portofolio yang dapat digunakan. Contoh tugas portofolio siswa sd kelas 6Contoh laporan hasil uji coba tes. Portofolio mencakup berbagai contoh pekerjaan siswa yang tergantung pada keluasan tujuan.
Analisis Tugas Portofolio Tabel 1. Domain keterampilan digunakan teknik. Selain tujuh kriteria di atas hal-hal lain yang perlu diperhatikan dalam penilaian kinerja antara lain.
Contoh pekerjaan siswa ini memberikan dasar bagi pertimbangan kemajuan belajarnya dan dapat dikomunikasikan kepada siswa orang tua serta pihak lain yang tertarik berkepentingan. Guru harus memastikan penugasan yang akan dinilai relevan dengan tuntutan kompetensi dalam kurikulum. Peserta didik diharuskan mengumpulkan dan mengarsipkan portofolio.
Dalam makalah ini akan dijelaskan beberapa contoh model penilaian mata pelajaran matematika untuk tingkat sekolah menengah kejuruan. 1 Memastikan peserta didik memiliki berkas portofolio 2 Menentukan bentukhasil pekerjaan 3 Mengumpulkanmenyimpan dokumenhasil pekerjaan 4 Menentukan kriteria penilaian penilaian yang digunakan 5 Mengharuskan peserta didik menilai pekerjaannya secara kontinu 6 Menentukanmenyelenggarakan pertemuan portofolio 7 Melibatkan orang tua dalam proses penilaian portofolio Contoh Portofolio Contoh. Penilaian portofolio dapat dilaksanakan dengan langkah-langkah sebagai berikut.
EFEKTIVITAS PENILAIAN UNJUK KERJA DAN PENILAIAN PORTOFOLIO TERHADAP AKTIFITAS BELAJAR MATEMATIKA SISWA KELAS VIII MTs NEGERI MODEL MAKASSAR SKRIPSI Diajukan untuk Memenuhi Salah Satu Syarat Meraih Gelar Sarjana Pendidikan SPd Jurusan PendidikanMatematika Pada Fakultas Tarbiyah dan Keguruan UIN Alauddin Makassar OLEH. Setiap kriteria diberi skor dalam skala 5 1-5 2. Guru kelas VI akan melakukan penilaian portofolio untuk melengkapi blangko penilaian yang telah disiapkan.
CONTOH FORMAT PENILAIAN PORTOFOLIO LEMBAR PENILAIAN DOKUMEN Judul Dokumen. NO Aspek yang dinilai Skor Maksimal Nilai yang diperoleh 1. Nilai skor 1 Rendah 2 Cukup 3 Rata-rata 4 Baik 5 Istimewa No.
Selain itu berikut ini contoh portofolio siswa SMA yang dijadikan sebagai tugas penilaian dari guru kepada siswa yang bisa anda jadikan contoh portofolio siswa SMA untuk anda. Penilaian Portofolio Matematika Abstract This research aims to describe how portfolio assessments in the implementation of portfolio in learning mathemathics in SMP Muhammadiyah 1 Kartasura. Kelengkapan isi portofolio 16 2.
Bagi kamu yang belum pernah membuat portofolio sebelumnya simak di bawah ini ya langkah-langkahnya.
Contoh Penilaian Portofolio Matematika Smp Dunia Sosial
Most Wanted Rubrik Portofolio Matematika
Contoh Penilaian Portofolio Matematika Sma

Contoh Penilaian Portofolio Matematika Smp Kelas 9 Guru Paud
Contoh Penilaian Portofolio Matematika Sma


Post a Comment for "Contoh Penilaian Portofolio Matematika"